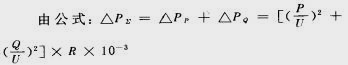
文章摘要:在低壓輸配電系統中經常用到電容無功補償,但是電容放在哪里無功補償的效果最好呢? 式中 P電網總損耗kW PP、PQ電網輸送有功功率、無功功率時造成的有功損耗kW P、Q有功功率、無功功率kW、kvar U、R電網實際運行電壓,線路等值電阻 得知當電網結構固定,輸送
在低壓輸配電系統中經常用到電容無功補償,但是電容放在哪里無功補償的效果最好呢?
式中 ΔP∑——電網總損耗kW
ΔPP、ΔPQ——電網輸送有功功率、無功功率時造成的有功損耗kW
P、Q——有功功率、無功功率kW、kvar
U、R——電網實際運行電壓,線路等值電阻
得知當電網結構固定,輸送的有功功率一定時ΔP∑的大小取決于Q的變化,即與Q的平方成正比。下面的表格表示了不同負荷功率因數下,電網需要輸送的Q造成ΔP∑的變化。
負荷功率因數與電網輸送的無功功率及功率損耗的關系:

從以上表中可以看出,當負荷功率因數cosφ低于0.7時,由于負荷所需要的無功功率Q大于有功功率P,負荷功率因數cosφ越低,負荷所需要的無功功率就越大,電網輸送的無功功率及因此造成的有功功率損耗越大。因此為了減少電網輸送的無功功率、降低電網中的有功功率損耗,在負荷功率因數cosφ較低的情況下(cosφ<0.8),必須在負荷點或電網中進行無功補償,提高負荷功率因數,使電網的無功功率就地平衡。
一、就地無功補償的優缺點
(一)優勢
就地無功補償,就是為了提高用電網負荷的功率因數,直接把低壓電容器并聯安裝在變壓器、電動機等感性電器設備上。這種安裝方法的最大優點是:用電設備運行時無功補償投入,用電設備停運時無功補償退出。也不需頻繁調整補償電容量。具有投資少、占位小、重量輕、安裝容易、配置方便靈活、維護簡單、事故率少、無需專人看管等優點。
(二)不足之處
就地無功補償,雖然有許多優點值得我們去利用,但也有它的不足之處:(1)不能自動投切,這是就地無功補償與電容無功補償自動投切裝置相比的主要缺點,它不能象自動投切裝置那樣,隨時按供電網絡中的功率因數的變化改變電容器投切數量來平衡無功功率。(2)停運時反向送電,由于就地補償是把電容器直接并聯在用電設備上,所以當用電設備被切斷電源后的暫態進程中,電容反向用電設備放電,如果補償電容選擇不合理,會出現“過電壓”,可能損壞用電設備和電容。因此,選擇電容器補償容量時,一定要科學合理。對頻繁起動的用電設備,特別是電動機,就更應注意過電壓的危害。
二、安裝就地無功補償應注意事項
(-)并聯電容器容量的選擇
并聯電容器補償電機時,其容量的選擇應按下面公式進行計算

式中 Ue——電機額定電壓kV
I0——空載電流A
對于用量最多的每分鐘1500轉和3000轉的電機用額定容量(kW)30%士0.5(kvar)的估算方法,可迅速簡便地求出所需補償電容的容量。以30kW電機為標準,如果電機容量小于30kW的每臺增加 0.5kvar。容量大于30kW的每臺就減少0.5kvar。
下面列出經過公式計算的各種單臺電機所需補償電容容量表:

(二)并聯電容器的接線
(1)線徑的選擇,連接補償電容器的接線線徑大小必須根據電容器額定電流的大小來選擇。電容器的額定電流是:

式中 IC——電容器額定電流A
QC——電容器額定功率kvar
Ue——電容器額定電壓kV
電容器的額定電流也可用估算的辦法來計算,即1kvar相當于2A,這個數比實際電流略大。
(2)接線辦法:對于10kvar以下的小電容器如果單臺接線,可把線直接接在電容器的接線柱上,而對于10kvar以上的較大容量的電容器,必須采用接線卡連接,因這類電容器的額定電流都在20A以上,導線較粗,特別是采用電纜接線.毛刺較多,電容器的接線柱距離又都很近,往往容易造成放電短路損壞設備。
(3)并聯電容器不能放置在過熱、漏雨、滴水、易擠、易壓、易砸和妨礙交通的地方,也不能放置得離補償設備太遠的地方,以免造成不必要的損失。
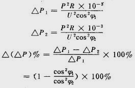
三、就地無功補償的節能效益
安裝防機隨器電容補償后可提高功率因數,降低可變損耗,當功率因數由coaφ1提高到cosφ2時,可變損耗降低的百分數可由下式求得:

由上式可計算出功率因數由cosφ1提高到cosφ2時對降低可變損耗的效益。
某廠目前投放低壓無功補償電容370只4440kvar,每年可節電177.7萬kW· h。安裝就地電容無功補償后,還可減少設備容量,提高線路輸送功率的能力,使超載的變壓器不再超載,使需要增容的變壓器也可能不需增容,經濟效益很好。
低壓配電無功補償方式選擇方式解析:那么我們來分析一下低壓補償柜的幾種補償方式吧,這里是源創電氣為大家講解的一些基本知識。 源創電氣告訴大家,在低壓配電系統中經常由于功率因數低,需要增加無功補償裝置,但無功補償裝置安裝地點在哪里效果比較好?我們知道,在低壓配電系統中,用電負荷
電容補償柜,
無功補償裝置,
靜止無功補償,
動態無功補償,
高壓無功補償,
本文來至襄陽源創電氣成套設備公司: [
無功補償裝置],咨詢無功補償裝置廠家,了解無功補償裝置價格
,請直接聯系:13507271573 張
本文鏈接:
http://www.fccars.cn/zs/wugongbuchangzhuangzhi/2017/0519/793.html ,轉載請注明!
(責任編輯:admin)